培训信息
当前位置: 首页 >> 培训信息 >> 正文

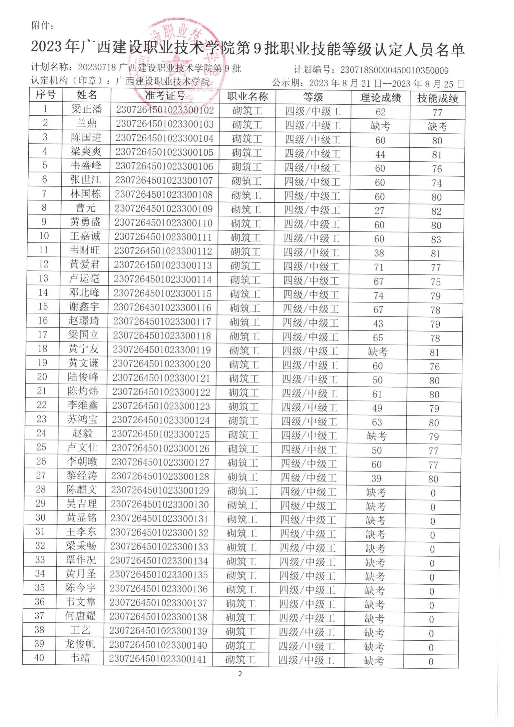
2023年雷速在线网站第9批职业技能等级认定人员成绩公示

发布日期:2023-08-21    点击:


雷速在线网站  版权所有 桂ICP备05014267号

雷速在线网站信息中心  技术支持