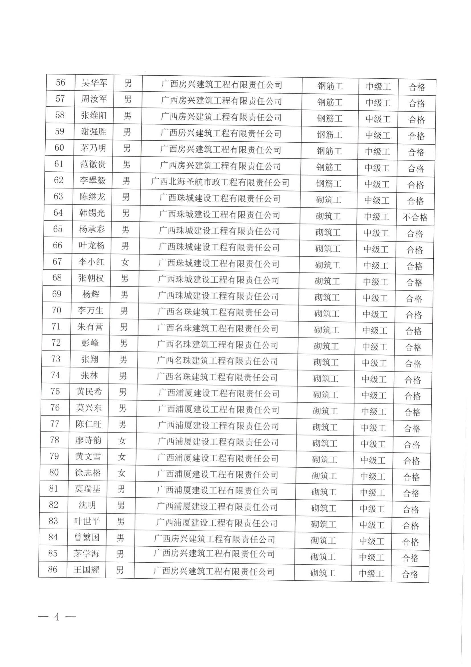
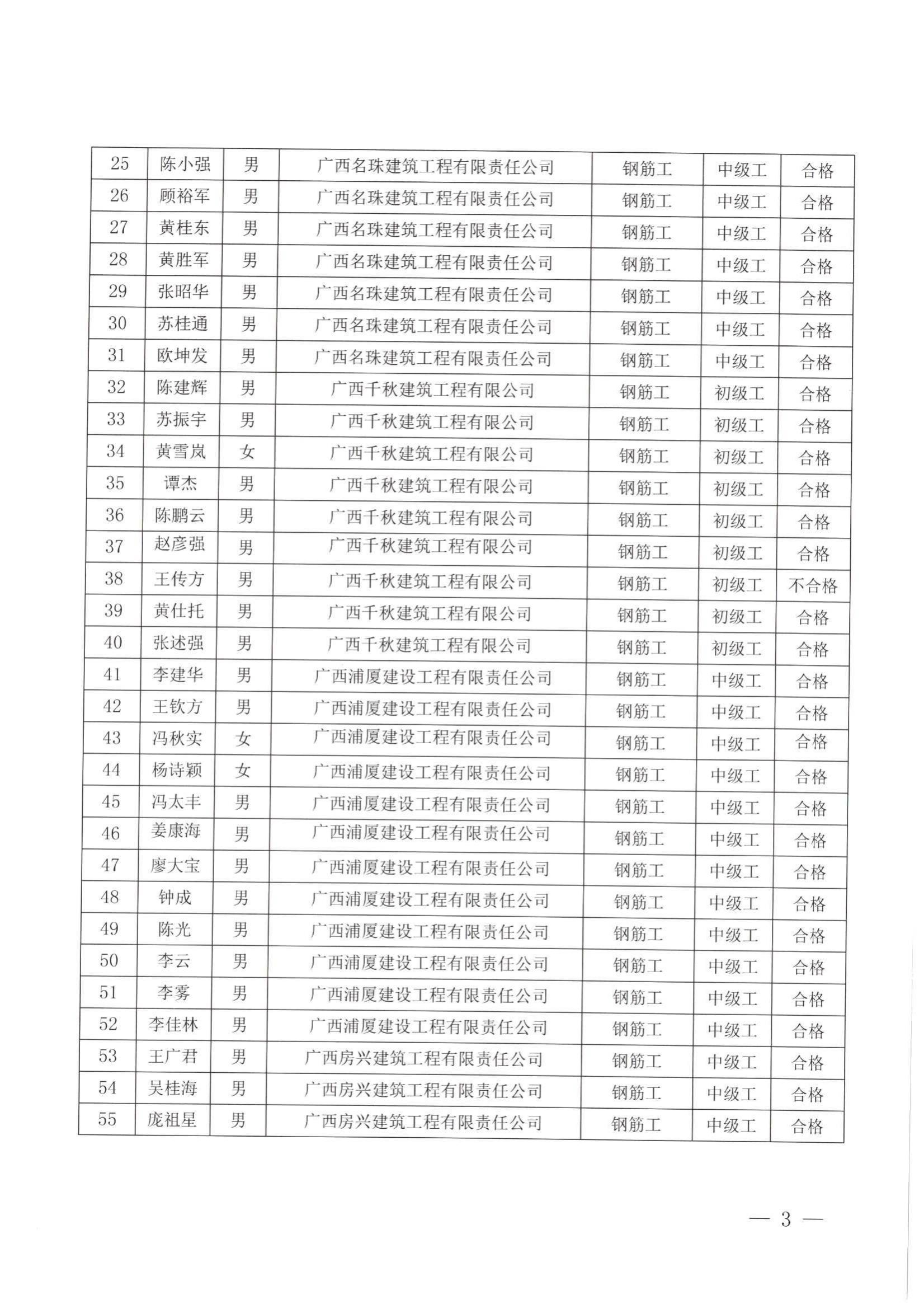
培训信息 当前位置: 首页 >> 培训信息 >> 正文 关于雷速在线网站2023年全区雷速在线网站产业工人第23期(北海市第1期)培训考核成绩的公示 发布日期:2024-01-23 点击: 附件【关于雷速在线网站2023年全区雷速在线网站产业工人第23期(北海市第1期)培训考核成绩的公示.pdf】已下载次